Eigenspaces Calculator 的热门建议 |
- Eigenvector
Calculator - How to Find
Eigenspace - Eigenvalues and
Eigenspaces - Eigenspace
Dimension - Finding Eigenvectors
3X3 - Eigenvalue Calculator
991Es - Finding
Eigenspace - Calculate
Eigenvectors - Eigen
- Basis for
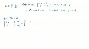
Eigenspace - Find the Eigenvalue and Bases for Eigenspaces of the Following Matrices
- Compute Eigenvalues in
Calculator - How You Can Find the Eigenspace
by Using a Diagonalization Theorem - Eigenspace
Basis Formula - Computing
Eigenvectors - Eigenvector Calculator
2X2 - MIT
Eigenvalues - Eigenvector
Example - Eigenvalue in Linear
Algebra
热门视频
观看更多视频
更多类似内容

反馈