English
全部
搜索
图片
视频
地图
资讯
更多
购物
航班
旅游
笔记本
报告不当内容
请选择下列任一选项。
无关
低俗内容
成人
儿童性侵犯
时长
全部
短(小于 5 分钟)
中(5-20 分钟)
长(大于 20 分钟)
日期
全部
过去 24 小时
过去一周
过去一个月
去年
清晰度
全部
低于 360p
360p 或更高
480p 或更高
720p 或更高
1080p 或更高
源
全部
Dailymotion
Vimeo
Metacafe
Hulu
VEVO
Myspace
MTV
CBS
Fox
CNN
MSN
价格
全部
免费
付费
清除筛选条件
安全搜索:
中等
严格
中等(默认)
关闭
筛选器
find the Maximum and Minimum distance of the point ( 3,4,2 ) fr... |
…
已浏览 5325 次
2024年10月29日
askfilo.com
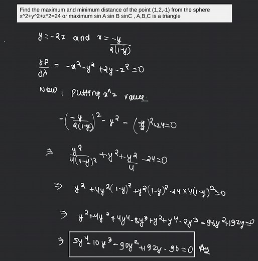
Find the maximum and minimum distance of the point (1,2,-1) fro...
…
已浏览 5260 次
2024年3月17日
askfilo.com
Q. Find the minimum and maximum values of the objective functio... |
…
10 个月之前
askfilo.com
Minimum Spanning Tree (MST) Algorithm
已浏览 6.6万 次
2024年1月3日
intellipaat.com
How to Find Maximum and Minimum Points Using Differentiation
2019年11月4日
onlinemath4all.com
8:22
Using Differentiation to Find Maximum and Minimum Values
已浏览 8.7万 次
2012年6月27日
Study.com
Find the critical points and the maximum and minimum values (if.
…
已浏览 6000 次
10 个月之前
askfilo.com
How to Find the Absolute Maximum & Minimum of a Function Given th
…
2021年6月10日
study.com
Answered: Solve the linear programming problem by the met
…
2019年12月18日
bartleby.com
Iterative Closest Point Method
2018年4月17日
mathworks.cn
Iteration method || Fixed point iteration method
已浏览 29.5万 次
2020年3月31日
YouTube
Dev prit
CH12 SLAM for Robotics - Iterative Closest Point (ICP) Algorithm
已浏览 4441 次
2023年3月9日
YouTube
Saeed Saeedvand
Find the Maximum and Minimum Points of a Function with Calculus
已浏览 1.7万 次
2018年1月22日
YouTube
Study Force
Find the minimum and maximum values of the objective function, ..
…
2024年3月19日
askfilo.com
How to find the minimum and maximum of a quadratic function?
…
2024年12月9日
askfilo.com
13:30
Iteration - Corbettmaths
已浏览 30.7万 次
2017年7月11日
YouTube
corbettmaths
8:24
Finding Minimum Distance
已浏览 5.9万 次
2016年1月14日
YouTube
Theoretically
9:47
Minimum Edit Distance Dynamic Programming
已浏览 60.2万 次
2015年3月13日
YouTube
Tushar Roy - Coding Made Simple
2:56
InteriorPointMethodDemonstratio
…
已浏览 1.3万 次
2010年4月29日
YouTube
sjbaran
6:04
The Gauss-Seidel Method
已浏览 55.5万 次
2014年5月10日
YouTube
Gregg Waterman
1:22:10
12. Greedy Algorithms: Minimum Spanning Tree
已浏览 24.1万 次
2016年3月4日
YouTube
MIT OpenCourseWare
2:24
TI84 TI83 Finding Relative Maximum & Minimum
已浏览 7.9万 次
2018年4月9日
YouTube
Mario's Math Tutoring
18:06
Iteration Method | Fixed Point Iteration Method | Numerical Meth
…
已浏览 87.4万 次
2019年7月10日
YouTube
Dr.Gajendra Purohit
5:02
Iterative Closest Point (ICP) - 5 Minutes with Cyrill
已浏览 5.5万 次
2020年5月9日
YouTube
Cyrill Stachniss
16:37
SOLVING A LINEAR PROGRAMMING PROBLEM | GRA
…
已浏览 3.2万 次
2020年12月7日
YouTube
Prof D
10:26
Maximum and Minimum Points | O Level Additional Mathematics
已浏览 1.8万 次
2020年2月4日
YouTube
Ibrahim Irfanullah
5:38
Find minimum (Smallest) element in Array
已浏览 10.3万 次
2018年4月15日
YouTube
Vivekanand Khyade - Algorithm Every Day
4:56
Point-to-Plane and Generalized ICP - 5 Minutes with Cyrill
已浏览 1.4万 次
2021年5月17日
YouTube
Cyrill Stachniss
5:43
Linear Programming 1: Maximization -Extreme/Corner Poi
…
已浏览 114.7万 次
2015年7月29日
YouTube
Joshua Emmanuel
12:47
Maxima and Minima of the function
已浏览 2.2万 次
2021年4月2日
YouTube
Dr. Harish Garg
观看更多视频
更多类似内容
反馈